2021年6月25日,司机社
边立功副研究员课题组发表研究论文“Magnetic field and gravitational waves from the first-order Phase Transition ” (通过格点场论在计算机上模拟宇宙一阶相变过程中磁场和引力波产生)。该论文以司机社
第一单位和通讯单位在Physical Review Letters上发表。司机社
本科生邸越峰为第一作者、本科生汪嘉龙为第二作者、博士生周瑞雨为第三作者,司机社
边立功副研究员、中科院理论物理所蔡荣根研究员、国科大杭州高等研究院刘京博士为共同通讯作者。
对宇宙早期演化过程中各种物理现象的宇宙学和天文观测(如:引力波、大尺度磁场等)为研究超出粒子物理标准模型新物理提供了一个新的窗口。欧空局的LISA、我国的太极和天琴等空间引力波探测器的一个主要科学目标是一阶相变产生的随机引力波。另外,一阶相变过程中产生的磁场可以提供星系演化的磁场的种子。课题组通过一阶相变研究把以上两个国际前沿热点结合起来,通过计算机格点模拟了电弱相变过程中磁场和引力波的产生过程。

图1:真空泡泡的产生、膨胀与碰撞。
研究发现一阶相变过程通过真空泡的形成、碰撞、并合过程实行,该过程中产生的磁场经过宇宙磁流体放大效应后可以被耀变星体谱观测,同时产生的相变引力波可以被引力波探测器探测到。文章链接://journals.aps.org/prl/abstract/10.1103/PhysRevLett.126.251102, 此项研究得到了国家自然科学基金委重大项目和创新群体项目、国家重点研发计划和中国科学院战略性先导科技专项、国家自然科学基金和司机社
理论物理学术交流平台、重庆市自然科学基金等的支持和资助。

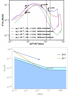
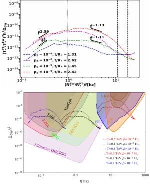
图2:左上:电弱一阶相变产生的磁场能谱;左下:磁场后期演化预言的现在的磁场强度和关联尺度;右上:相变预言的引力波能量谱;右下:预言的引力波有机会被多种探测器观测到